Στις 10 ακριβώς ανακοινώθηκαν τα θέματα από το Υπουργείο Παιδείας για τα μαθήματα των Αρχαίων και των Μαθηματικών. Οι εν λόγω εξετάσεις αφορούσαν μαθητές των ΓΕΛ και τα Dikaiologitika News σας ανήρτησαν αμέσως τόσο τα θέματα όσο και τις απαντήσεις σε συνεργασία με το φροντιστήριο «Μεθοδικό».
Σχολιασμός του ΟΕΦΕ για τα Αρχαία
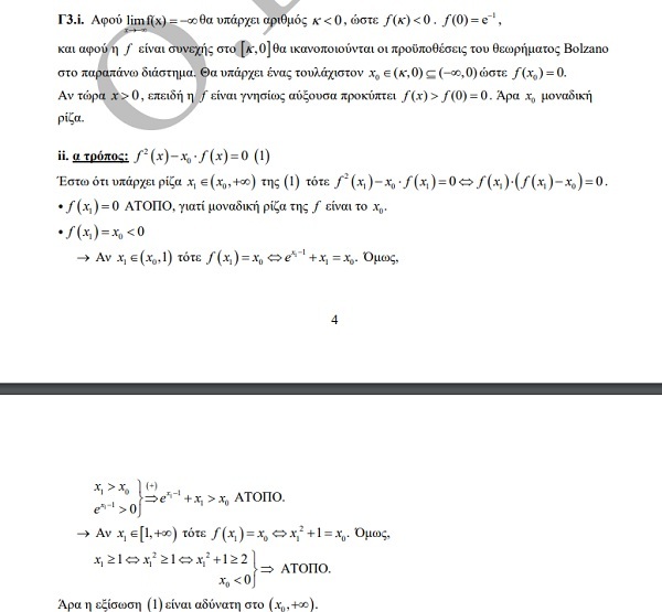
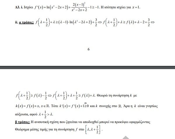
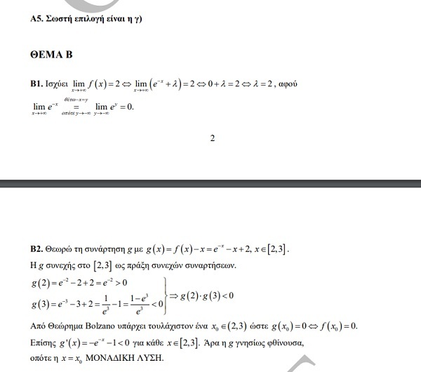
Σχολιασμός και απαντήσεις του ΟΕΦΕ για τα Μαθηματικά































