Φορολογική αφαίμαξη σε εκατομμύρια μισθωτούς, συνταξιούχους και κατ' επάγγελμα αγρότες αναμένεται να προκαλέσουν οι διατάξεις του άρθρου 10 του πολυνομοσχεδίου που προβλέπουν τη μείωση της ετήσιας έκπτωσης φόρου εισοδήματος κατά 650 ευρώ, από τα επίπεδα των 1.900-2.100 ευρώ στα επίπεδα των 1.250-1.450 ευρώ.
Το μόνο... παρήγορο για τους μισθωτούς, τους συνταξιούχους και τους κατ' επάγγελμα αγρότες είναι ότι το "κούρεμα" των αφορολογήτων ορίων τους δεν θα τεθεί σε ισχύ άμεσα, αλλά θα εφαρμοστεί από την 1η Ιανουαρίου 2020, δηλαδή μετά από περίπου 2,5 χρόνια, εκτός εάν το 2018 το πρωτογενές πλεόνασμα του προϋπολογισμού της Γενικής Κυβέρνησης υπολείπεται κατά πολύ του 3,5% του ΑΕΠ, οπότε το επαχθές αυτό μέτρο θα τεθεί σε ισχύ ένα χρόνο νωρίτερα, από την 1η-1-2019, ή σε 1,5 περίπου χρόνο από τώρα.
Ειδικότερα:
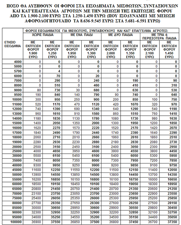
1) Από τη μείωση των εκπτώσεων φόρου κατά 650 ευρώ και τη διατήρηση του ελάχιστου φορολογικού συντελεστή στο 22%, που ισοδυναμούν με μείωση αφορολογήτων ορίων από τα επίπεδα των 8.636-9.545 ευρώ στα επίπεδα των 5.681-6.591 ευρώ, θα προκύψουν για πρώτη φορά επιβαρύνσεις ακόμη και για όσους εργαζόμενους του ιδιωτικού τομέα αμείβονται με λίγο περισσότερα από 405 ευρώ το μήνα, καθώς επίσης και για τους δημοσίους υπαλλήλους και τους συνταξιούχους με αποδοχές λίγο μεγαλύτερες από 473 ευρώ το μήνα!
Ωστόσο, ακόμη και όσοι μισθωτοί και συνταξιούχοι λαμβάνουν μηνιαία εισοδήματα χαμηλότερα από τα παραπάνω όρια, δηλαδή ζουν με ετήσια εισοδήματα χαμηλότερα από τα νέα μειωμένα αφορολόγητα όρια των 5.681-6.591 ευρώ, θα κληθούν κι αυτοί να πληρώσουν υπέρογκους φόρους εισοδήματος, καθώς η Ανεξάρτητη Αρχή Δημοσίων Εσόδων θα προσδιορίσει τα τελικά φορολογητέα εισοδήματά τους σε επίπεδα πολύ υψηλότερα των νέων χαμηλών αυτών αφορολογήτων ποσών, εφαρμόζοντας τα τεκμήρια διαβίωσης για τις κατοικίες στις οποίες διαμένουν και τα ΙΧ αυτοκίνητα που τυχόν χρησιμοποιούν. Κάτι αντίστοιχο θα συμβεί και στους κατά κύριο επάγγελμα αγρότες, οι περισσότεροι από τους οποίους δηλώνουν ετήσια εισοδήματα κάτω από τα επίπεδα των νέων μειωμένων αφορολογήτων ορίων, όμως τα τεκμήρια διαβίωσης για τα σπίτια και τα ΙΧ αυτοκίνητά τους ανεβάζουν τα τελικά φορολογητέα εισοδήματά τους σε επίπεδα πολύ πιο υψηλά.
Πιο αναλυτικά:
α) Για τους μισθωτούς, τους συνταξιούχους και τους κατ' επάγγελμα αγρότες που δεν βαρύνονται με ανήλικα ή ενήλικα εξαρτώμενα τέκνα (σπουδάζοντα, άνεργα κ.λπ.) η έκπτωση φόρου από τα 1.900 στα 1.250 ευρώ. Η μείωση της έκπτωσης φόρου κατά 650 ευρώ με δεδομένο ότι θα συνδυαστεί με διατήρηση του κατώτατου συντελεστή φορολόγησης στο 22% θα οδηγήσει σε μείωση του ισχύοντος για τους φορολογούμενους αυτούς αφορολογήτου ορίου από τα 8.636 ευρώ (1.900 ευρώ/ 22%) στα 5.681 ευρώ (1.250 ευρώ / 22%).
β) Για τους μισθωτούς, τους συνταξιούχους και τους κατ' επάγγελμα αγρότες που βαρύνονται με ένα ανήλικο ή ενήλικο εξαρτώμενο τέκνο, η έκπτωση φόρου των 1.950 ευρώ η οποία ισχύει σήμερα θα μειωθεί στα 1.300 ευρώ. Η μείωση αυτή, θα οδηγήσει σε μείωση του ισχύοντος για τους φορολογούμενους αυτούς αφορολογήτου ορίου από τα 8.863,63 ευρώ (1.950 ευρώ / 22%) στα 5.909 ευρώ (1.300 ευρώ / 22%).
γ) Για τους μισθωτούς, τους συνταξιούχους και τους κατ' επάγγελμα αγρότες που βαρύνονται με δύο ανήλικα ή ενήλικα εξαρτώμενα τέκνα, η έκπτωση φόρου των 2.000 ευρώ, που ισχύει σήμερα θα μειωθεί στα 1.350 ευρώ. Η μείωση αυτή, θα οδηγήσει σε περιορισμό του ισχύοντος για τους φορολογούμενους αυτούς αφορολογήτου ορίου από τα 9.091 ευρώ (2.000 ευρώ / 22%) στα 6.136,36 ευρώ (1.350 ευρώ / 22%).
δ) Για τους μισθωτούς, τους συνταξιούχους και τους κατ' επάγγελμα αγρότες που βαρύνονται με τρία ή περισσότερα ανήλικα ή ενήλικα εξαρτώμενα τέκνα, η έκπτωση φόρου των 2.100 ευρώ, που ισχύει σήμερα θα μειωθεί στα 1.450 ευρώ. Η μείωση αυτή, θα οδηγήσει σε περιορισμό του ισχύοντος για τους φορολογούμενους αυτούς αφορολογήτου ορίου από τα 9.545 ευρώ (2.100 ευρώ / 22%) στα 6.591 ευρώ (1.450 ευρώ / 22%).
Από τις παραπάνω μειώσεις στα αφορολόγητα όρια:
* Περίπου 4,3 εκατομμύρια μισθωτοί, συνταξιούχοι και κατ' επάγγελμα αγρότες με ετήσια εισοδήματα μεγαλύτερα των 5.700 ευρώ θα υποστούν επιπλέον φορολογικές επιβαρύνσεις έως και 650 ευρώ έκαστος.
* Περίπου 1,5 εκατομμύριο μισθωτοί, συνταξιούχοι και κατ' επάγγελμα αγρότες με ετήσια δηλούμενα εισοδήματα χαμηλότερα των νέων μειωμένων αφορολογήτων ορίων των 5.681-6.591 ευρώ θα υποστούν κι αυτοί επιβαρύνσεις, λόγω προσδιορισμού των τελικών φορολογητέων εισοδημάτων τους με βάση τα τεκμήρια διαβίωσης σε επίπεδα υψηλότερα των 6.000-7.000 ευρώ, όπου πλέον επιβάλλεται φόρος εισοδήματος. Π.χ. άγαμος μισθωτός εργαζόμενος με μηνιαίο εισόδημα 300 ευρώ, δηλαδή με ετήσιο εισόδημα μόλις 3.600 ευρώ που διαμένει σε διαμέρισμα 80 τ.μ. θα φορολογείται βάσει τεκμηρίων διαβίωσης για εισόδημα 6.200 ευρώ (3.000 ευρώ ελάχιστο τεκμήριο + 3.200 ευρώ τεκμήριο κύριας κατοικίας) και θα πληρώνει φόρο εισοδήματος 114 ευρώ.
Τι θα συμβεί αν εφαρμοστούν και τα αντίμετρα
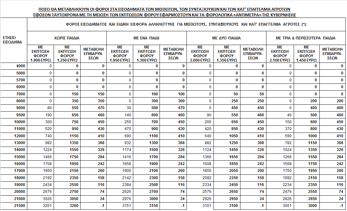
2) Εφόσον μαζί με τη μείωση των εκπτώσεων φόρου κατά 650 ευρώ εφαρμοστούν και τα φορολογικά «αντίμετρα» της κυβέρνησης, τα οποία περιλαμβάνονται στα άρθρα 12 και 13 του πολυνομοσχεδίου και προβλέπουν τη μείωση του κατώτατου φορολογικού συντελεστή από το 22% στο 20%, την κατάργηση της ειδικής εισφοράς αλληλεγγύης για τα ετήσια εισοδήματα μέχρι 30.000 ευρώ και την μείωσή της για τα εισοδήματα από 30.001 έως και 65.000 ευρώ, τότε θα προκύψουν αυξήσεις φορολογικών επιβαρύνσεων κατά 24 έως 470 ευρώ το χρόνο για όσους μισθωτούς, συνταξιούχους και κατ' επάγγελμα αγρότες δηλώνουν ετήσια εισοδήματα μέχρι 21.500 ευρώ και φοροελαφρύνσεις απο 26 εως 1.501 ευρώ ετησίως για τους μισθωτούς, τους συνταξιούχους και τους κατ’ επάγγελμα αγρότες, που δηλώνουν πάνω από 21.500 ευρώ το χρόνο και μεχρι 220.000 ευρώ τον χρόνο.
Τα φορολογικά «αντίμετρα», τα οποία περιλαμβάνονται στο πολυνομοσχέδιο, προβλέπουν στη φορολογία εισοδήματος φυσικών προσώπων:
α) Μηδενισμό της ειδικής εισφοράς αλληλεγγύης για ετήσια εισοδήματα μέχρι 30.000 ευρώ και μείωσή της για εισοδήματα μέχρι 65.000 ευρώ, ως εξής:
* από 6,5% σε 2% για το τμήμα ετήσιου εισοδήματος από 30.001 ως 40.000 ευρώ,
* από 7,5% σε 5% για το τμήμα ετήσιου εισοδήματος από 40.001 ως και 65.000 ευρώ,
Έτσι, η κλίμακα υπολογισμού της εισφοράς θα διαμορφωθεί ως εξής:
* 0% για το τμήμα ετησίου εισοδήματος μέχρι τα 30.000 ευρώ,
* 2% για το τμήμα ετήσιου εισοδήματος από 30.001 ως 40.000 ευρώ,
* 5% για το τμήμα ετήσιου εισοδήματος από 40.001 ως και 65.000 ευρώ,
* 9% για το τμήμα ετήσιου εισοδήματος από 65.001 ως και 220.000 ευρώ και
* 10% για το τμήμα ετήσιου εισοδήματος από 220.001 ευρώ και πάνω.
β) Μείωση κατά 2 ποσοστιαίες μονάδες του κατώτατου συντελεστή φόρου εισοδήματος φυσικών προσώπων. Ο συντελεστής φόρου που επιβάλλεται στα εισοδήματα μέχρι 20.000 ευρώ προβλέπεται να μειωθεί από το 22% στο 20%. Ειδικά για τους μισθωτούς, τους συνταξιούχους και τους κατ’ επάγγελμα αγρότες, τυχόν μείωση του κατώτατου συντελεστή φόρου από το 22% στο 20% θα έχει ως συνέπεια το αφορολόγητο όριο εισοδήματος να διαμορφωθεί:
- στα 6.250 ευρώ (έκπτωση φόρου 1.250 ευρώ / 20%), για τους άγαμους χωρίς προστατευόμενα τέκνα.
- στα 6.500 ευρώ (έκπτωση φόρου 1.300 ευρώ / 20%), για τους άγαμους ή τους έγγαμους με ένα προστατευόμενο τέκνο.
- στα 6.750 ευρώ (έκπτωση φόρου 1.350 ευρώ / 20%), για τους άγαμους ή τους έγγαμους με δύο προστατευόμενα τέκνα.
- στα 7.250 ευρώ (έκπτωση φόρου 1.450 ευρώ / 20%), για τους άγαμους ή τους έγγαμους με τρία ή περισσότερα προστατευόμενα τέκνα.
Οι παραπάνω αλλαγές θα εφαρμοστούν για τα εισοδήματα του έτους 2020 και των επομένων ετών, αν και εφόσον μέχρι και το τέλος του 2019 η Ελλάδα έχει επιτύχει πρωτογενή πλεονάσματα τουλάχιστον 3,5% του ΑΕΠ στους ετήσιους κρατικούς προϋπολογισμούς της.





























