Η σημαντική αυτή διαπίστωση προκύπτει από μελέτη του Κέντρου Ανάλυσης Παγκόσμιων Λοιμωδών Νοσημάτων (MRC Centre for Global Infectious Disease Analysis) του Imperial Gollege, στην οποία συμμετείχε από ελληνικής πλευράς ο επίκουρος καθηγητής στο Τμήμα Υγιεινής & Επιδημιολογίας Ιατρικής Σχολής ΕΚΠΑ Γκίκας Μαγιορκίνης. Ο κ. Μαγιορκίνης μιλάει στο ΑΠΕ-ΜΠΕ για τη μελέτη, και με την ιδιότητα τού μέλους της επιτροπής εμπειρογνωμόνων του υπουργείου Υγείας.
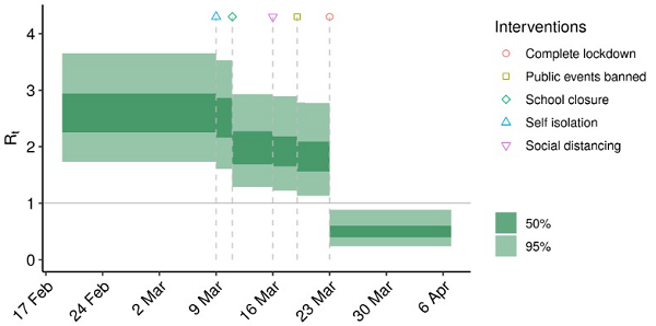
«Στη μελέτη μας φαίνεται ότι η Ελλάδα παρουσίασε κατακόρυφη πτώση των μολύνσεων από κορονοϊό στις 23 Μαρτίου, την ημέρα που τέθηκε σε εφαρμογή το λοκντάουν. Από την ίδια μέρα φαίνεται ότι και η μεταδοτικότητα του ιού είναι σε πορεία συρρίκνωσης, σε σχέση με άλλες χώρες, ενώ σημαντική μείωση εμφάνισης κρουσμάτων προηγήθηκε στις 1Ο Μαρτίου, με το κλείσιμο των σχολείων».
Αν αναστραφεί τώρα το lockdown η επιδημία θα αναζωπυρωθεί
Εντυπωσιακό, λέει ο κ. Μαγιορκίνης είναι το γεγονός ότι σε σύγκριση με τη Γερμανία, η οποία έχει κάνει εκτεταμένα τέστ, και ακόμη δεν έχει περάσει σε ύφεση, η Ελλάδα είναι σε καλύτερη θέση, και τα μέτρα έχουν μεγαλύτερη αποτελεσματικότητα. Ένα σημαντικό στοιχείο που αναδεικνύει αυτή η μελέτη, τονίζει ο διακεκριμένος επιδημιολόγος, είναι ότι αν αναστραφεί το λοκντάουν σε αυτή τη χρονική περίοδο, η επιδημία θα αναζωπυρωθεί, και αυτό είναι κάτι που πρέπει να προσέξει ιδιαίτερα ο κόσμος, και να μην πάρει θάρρος από την καλή πορεία που διανύουμε. «Στις 28 Μαρτίου είχατε δηλώσει στο ΑΠΕ-ΜΠΕ ότι αν τα νούμερα συνεχιστούν σε αυτούς τους ρυθμούς, ίσως σε τρεις εβδομάδες, μπούμε σε ύφεση. Σήμερα 13 μέρες μετά φαίνεται ότι αυτή ήρθε νωρίτερα;», προκύπτει εύλογα το ερώτημα. Στις 28 Μαρτίου είχα αναφερθεί σε ύφεση του συνολικού αριθμού κρουσμάτων στη χώρα, απαντά ο κ. Μαγιορκίνης. «Σήμερα βλέπουμε ότι η μεταδοτικότητα έπεσε αρκετά νωρίς, γεγονός που με κάνει να αισθάνομαι ακόμα πιο αισιόδοξος».
Lockdown και κλείσιμο σχολείων τα πιο αποτελεσματικά μέτρα
Όσον αφορά την Ιταλία ο επίκουρος καθηγητής αναφέρει ότι ο δρόμος παραμένει ακόμη μακρύς, παρόλο που έχει αρχίσει να περνάει σε φάση συρρίκνωσης. «Είναι σε λίγο καλύτερη μοίρα από την Ισπανία, η οποία είναι ακόμη σε φάση σταθεροποίησης (σσ: η επιδημία εξακολουθεί να εξαπλώνεται με σταθερό ρυθμό). Η Γαλλία μπαίνει πιο αργά από την Ισπανία σε φάση σταθεροποίησης, ενώ η Αγγλία θα αργήσει να μπει σε ύφεση». Ανησυχητική φαίνεται, σύμφωνα με τον κ. Μαγιορκίνη, ότι είναι η πορεία της Σουηδίας, η οποία δεν έχει περάσει ακόμη σε λοκ ντάουν, δεν έχουν κλείσει σχολεία, και απλά έχουν ληφθεί μέτρα αυτοαπομόνωσης και κοινωνικής απόστασης. «Συνολικά η μελέτη δείχνει ότι τα δύο πιο αποτελεσματικά μέτρα είναι το κλείσιμο των σχολείων και το λοκντάουν». Tα αποτελέσματα της μελέτης που είναι σε εξέλιξη και διεξάγεται από τέλη Φεβρουαρίου σε Αυστρία, Βέλγιο, Δανία, Γαλλία, Ιταλία, Ισπανία, Γερμανία, Ελλάδα, Ολλανδία, Νορβηγία, Πορτογαλία, Σουηδία, Ελβετία και Ην. Βασίλειο, θα ανανεώνονται εβδομαδιαίως, καθώς εξελίσσεται η επιδημία.































