Την επιβολή φόρου εισοδήματος και σε όσους φορολογούμενους δηλώνουν μισθούς ή συντάξεις άνω των 9.090 και μέχρι 9.545 ευρώ το χρόνο, δηλαδή σε ιδιωτικούς υπαλλήλους που λαμβάνουν κάθε μήνα από 650 και μέχρι 682 ευρώ καθώς επίσης και σε δημοσίους υπαλλήλους και συνταξιούχους με μηνιαίες αποδοχές από 757 έως 795 ευρώ το μήνα προκαλούν οι διατάξεις για την αναμόρφωση της φορολογίας εισοδήματος φυσικών προσώπων που περιλαμβάνονται στο πολυνομοσχέδιο της κυβέρνησης με τα νέα δημοσιονομικά μέτρα της περιόδου 2016-2018.
Επιπλέον, οι συγκεκριμένες διατάξεις θα έχουν ως συνέπεια όσοι δηλώνουν ετήσια εισοδήματα από μισθούς ή συντάξεις πάνω από 9.545 και μέχρι 27.000 ευρώ – δηλαδή όλοι οι ιδιωτικοί υπάλληλοι με μηνιαίες φορολογητέες αποδοχές πάνω από 682 ευρώ και μέχρι 1.929 ευρώ και όλοι οι δημόσιοι υπάλληλοι και συνταξιούχοι με μηνιαία ποσά φορολογητέων αποδοχών πάνω από 795 και μέχρι 2.250 ευρώ - να καταβάλουν επιπλέον φόρους έως και 176 ευρώ το χρόνο για τα εισοδήματά τους αυτά, οι δε υψηλόμισθοι με ετήσιες αποδοχές άνω των 43.000 ευρώ και μέχρι 100.000 ευρώ να επιβαρυνθούν με επιπλέον φόρους από 100 έως και 3.851 ευρώ το χρόνο.
Αυξημένες θα είναι οι ετήσιες φορολογικές επιβαρύνσεις και για όσους επιχειρηματίες και ελεύθερους επαγγελματίες δηλώνουν ετήσια εισοδήματα πάνω από 32.000 ευρώ. Για όσους εξ’ αυτών εμφανίζουν εισοδήματα μέχρι 100.000 ευρώ, αναμένεται να προκύψουν αυξήσεις φορολογικών επιβαρύνσεων από 350 μέχρι 8.851 ευρώ το χρόνο από την εφαρμογή των νέων ρυθμίσεων.
Για τους φορολογούμενους που αποκτούν εισοδήματα από ακίνητα (ενοίκια κ.λπ.) μέχρι 12.000 ευρώ το χρόνο, οι αλλαγές τις οποίες προβλέπει το νομοσχέδιο αναμένεται να προκαλέσουν αύξηση του συνολικού φορολογικού βάρους έως και 520 ευρώ το χρόνο. Όσοι φορολογούμενοι αποκτούν εισοδήματα από ακίνητη περιουσία πάνω από 12.000 ευρώ και μέχρι 35.000 ευρώ το χρόνο θα πληρώσουν επιπλέον φόρους από 451 έως και 1.341 ευρώ το χρόνο, ενώ οι φορολογούμενοι με ετήσια εισοδήματα άνω των 35.000 ευρώ από ενοίκια θα πληρώνουν φόρους αυξημένους κατά ποσά άνω των 2.000 ευρώ το χρόνο.
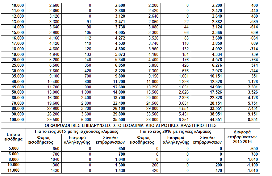
Επίσης για όσους αγρότες δηλώνουν ετησίως πάνω από 20.000 ευρώ προκύπτουν σημαντικές αυξήσεις φορολογικών επιβαρύνσεων.
Από την άλλη πλευρά, οι προωθούμενες αλλαγές στο φορολογικό θα φέρουν μειώσεις επιβαρύνσεων κατά 76 έως και 374 ευρώ το χρόνο για τους μισθωτούς και τους συνταξιούχους με ετήσια εισοδήματα από 28.000 έως 43.000 ευρώ, κατά 200 έως και 764 ευρώ το χρόνο για τους μικρομεσαίους επιχειρημαρίες και τους ελεύθερους επαγγελματίες με ετήσια εισοδήματα μέχρι 32.000 ευρώ και 164 έως 1.010 ευρώ για τους κατά κύριο επάγγελμα αγρότες με ετήσια εισοδήματα μέχρι 20.000 ευρώ.
Το πολυνομοσχέδιο με τις διατάξεις για το ασφαλιστικό και το φορολογικό, το οποίο ανακοινώθηκε χθες από την κυβέρνηση προβλέπει την κατάργηση των πολλών διαφορετικών κλιμάκων και συντελεστών φορολόγησης για τα εισοδήματα από μισθούς, συντάξεις, επιχειρηματικές και αγροτικές δραστηριότητες και την εφαρμογή ενιαίας κλίμακας φορολόγησης για το άθροισμα όλων αυτών των κατηγοριών εισοδήματος.
Στην νέα ενιαία κλίμακα θα ισχύει έμμεσο αφορολόγητο όριο μειωμένο από τα 9.545 στα 9.090 ευρώ για τα εισοδήματα από μισθούς και συντάξεις, καθώς η έκπτωση φόρου μειώνεται από τα 2.100 στα 2.000 ευρώ. Το αφορολόγητο των 9.090 ευρώ, το οποίο παρέχεται με τη μορφή έκπτωσης φόρου 2.000 θα ισχύει και για τα εισοδήματα από αγροτικές δραστηριότητες, τα οποία σήμερα φορολογούνται με 13% από το πρώτο ευρώ. Για τα εισοδήματα από επιχειρηματικές δραστηριότητες (ατομικές εμπορικές επιχειρήσεις, ατομικές επιχειρήσεις παροχής υπηρεσιών, ελευθέρια επαγγέλματα, «μπλοκάκια» κ.λπ.) δεν προβλέπεται καμία έκπτωση φόρου. Ο συντελεστής φορολόγησης των εισοδημάτων από επιχειρηματικές δραστηριότητες που δεν υπερβαίνουν τα 20.000 ευρώ το χρόνο μειώνεται από το 26% στο 22%, ενώ για τα υψηλότερα των 20.000 ευρώ κλιμάκια εισοδήματος αυτής της κατηγορίας, οι φορολογικοί συντελεστές αυξάνονται από τα επίπεδα του 26%-33% της ισχύουσας σήμερα αυτοτελούς κλίμακας, στα επίπεδα του 29%-45%.
Για τα εισοδήματα από ακίνητα, παραμένει η αυτοτελής κλίμακα φορολόγησης, αλλά οι συντελεστές φόρου 11% και 33% αυξάνονται σε 15% και 35%, ενώ προστίθεται και νέος ακόμη πιο υψηλός συντελεστής 45% για ετήσια ποσά ενοικίων και λοιπών εισοδημάτων από ακίνητα, πάνω από 35.000 ευρώ.
Ειδική ρύθμιση προβλέπεται για όσους φορολογούμενους έχουν εισοδήματα και από μισθούς και από επιχειρηματική δραστηριότητα. Συγκεκριμένα προβλέπεται ότι στην περίπτωση αυτή, η έκπτωση φόρου έως 2.000 ευρώ θα ισχύει μόνο για το εισόδημα από μισθούς.
Αναλυτικά, με τις διατάξεις για την αναμόρφωση της φορολογίας εισοδήματος φυσικών προσώπων που περιλαμβάνονται στο πολυνομοσχέδιο, προβλέπονται τα εξής:
1) Τα εισοδήματα από μισθούς, συντάξεις, επιχειρηματικές και αγροτικές δραστηριότητες θα φορολογούνται με ενιαία (κοινή) φορολογική κλίμακα στην οποία:
α) Η ετήσια έκπτωση φόρου για τα εισοδήματα από μισθούς και συντάξεις θα είναι μειωμένη από τα 2.100 στα 2.000 ευρώ και θα αποκλιμακώνεται κατά 10 ευρώ για κάθε 1.000 ευρώ επιπλέον εισοδήματος πάνω από το επίπεδο ετησίου εισοδήματος των 20.000 ευρώ και μέχρι το επίπεδο ετησίου εισοδήματος των 220.000 ευρώ. Σήμερα η αποκλιμάκωση της έκπτωσης των 2.100 ευρώ γίνεται από τα 21.000 έως τα 42.000 ευρώ. Η μείωση της έκπτωσης φόρου από τα 2.100 στα 2.000 ευρώ προκαλεί μείωση στο έμμεσο αφορολόγητο όριο από τα 9.545 στα 9.090 ευρώ.
β) Η έκπτωση φόρου των 2.000 ευρώ, η οποία ισοδυναμεί με αφορολόγητο όριο 9.090 ευρώ θα ισχύει και για τα εισοδήματα από αγροτικές δραστηριότητες.
Επιπλέον για τους ασκούντες ατομική αγροτική δραστηριότητα, στον προσδιορισμό του φορολογητέου εισοδήματος θα συμπεριλαμβάνονται και οι άμεσες ενισχύσεις του πρώτου πυλώνα της Κοινής Γεωργικής Πολιτικής, με εξαίρεση τις πράσινες και τις συνδεδεμένες, καθώς και οι επιδοτήσεις που υπερβαίνουν τα 12.000 ευρώ, οι δε αγροτικές αποζημιώσεις, στο σύνολό τους, θα εξακολουθούν να μην συνυπολογίζονται. Οι διατάξεις του προηγούμενου εδαφίου εφαρμόζονται για τα εισοδήματα που αποκτώνται στα φορολογικά έτη που αρχίζουν από 1η Ιανουαρίου 2016 και μετά.
γ) Ο κατώτατος συντελεστής φόρου εισοδήματος παραμένει στο 22% αλλά θα επιβάλλεται πλέον σε εισοδήματα μέχρι 20.000 ευρώ, αντί 25.000 ευρώ που προβλέπει η ισχύουσα σήμερα κλίμακα για τους μισθωτούς και τους συνταξιούχους.
δ) Καθιερώνονται συντελεστές φόρου 29% για το τμήμα ετησίου εισοδήματος από 20.001 έως 30.000 ευρώ, 37% για το τμήμα ετησίου εισοδήματος από 30.001 έως 40.000 ευρώ και 45% για το τμήμα του ετησίου εισοδήματος πάνω από τα 40.000 ευρώ.
2) Στην κλίμακα υπολογισμού του φόρου για τα εισοδήματα από ακίνητα θα επέλθουν οι ακόλουθες αλλαγές:
α) Αύξηση από το 11% στο 15% του συντελεστή φορολόγησης που επιβάλλεται στο ετήσιο εισόδημα μέχρι το επίπεδο των 12.000 ευρώ.
β) Αύξηση από το 33% στο 35% του συντελεστή φορολόγησης που επιβαρύνει το κλιμάκιο ετησίου εισοδήματος από τα 12.001 έως τα 35.000 ευρώ.
γ) Αύξηση από το 33% στο 45% του συντελεστή φορολόγησης για το τμήμα ετησίου εισοδήματος πάνω από τα 35.000 ευρώ.
3) Για όσους φορολογούμενους έχουν και εισοδήματα από μισθούς και εισοδήματα από ατομικές επιχειρήσεις ή ελευθέρια επαγγέλματα ή "μπλοκάκια", προβλέπεται ότι η έκπτωση φόρου θα ισχύει μόνο για το τμήμα του εισοδήματος από μισθούς.
4) Η κλίμακα υπολογισμού της ειδικής εισφοράς αλληλεγγύης τροποποιείται ριζικά. Με την ισχύουσα σήμερα κλίμακα, η ειδική εισφορά αλληλεγγύης επιβάλλεται σε όλο το ετήσιο εισόδημα με έναν συντελεστή που διαμορφώνεται ως εξής:
-0,7% για ετήσια εισοδήματα από 12.001 έως 20.000 ευρώ
-1,4% για ετήσια εισοδήματα από 20.001 έως 30.000 ευρώ
-2% για ετήσια εισοδήματα από 30.001 έως 50.000 ευρώ
-4% για ετήσια εισοδήματα από 50.001 έως 100.000 ευρώ
-6% για ετήσια εισοδήματα από 100.001 έως 500.000 ευρώ
-8% για ετήσια εισοδήματα από 500.001 ευρώ και άνω.
Με τη νέα κλίμακα ειδικής εισφοράς αλληλεγγύης, που προβλέπει το νομοσχέδιο, θα ισχύουν συντελεστές φόρου που θα επιβάλλονται κλιμακωτά ως εξής:
-2,2% στο τμήμα ετησίου εισοδήματος από τα 12.001 έως τα 20.000 ευρώ,
-5% στο τμήμα ετησίου εισοδήματος από 20.001 ως 30.000 ευρώ,
-6,5% στο τμήμα ετησίου εισοδήματος από 30.001 ως 40.000 ευρώ,
-7,5% στο τμήμα ετησίου εισοδήματος από 40.001 ως και 65.000 ευρώ,
-9% στο τμήμα ετησίου εισοδήματος από 65.001 ως και 220.000 ευρώ και
-10% στο τμήμα ετησίου εισοδήματος από 220.001 ευρώ και πάνω.
Ο υπολογισμός της μηνιαίας παρακράτησης ειδικής εισφοράς αλληλεγγύης επί των μισθών και των συντάξεων με τη νέα κλίμακα θα αρχίσει να διενεργείται από τη στιγμή που το νομοσχέδιο θα γίνει νόμος του κράτους.
5) Αυξάνεται ο φόρος στα μερίσματα από 10% στο 15%.




























