Η καταβλητέα αξία των θηρευόµενων από τους κυνηγούς θηραµάτων και ο καθορισµός του τιµήµατος της ειδικής αδείας θήρας εντός των Ε.Κ.Π, καθορίζονται µε το ετήσιο πρόγραµµα θήρας το οποίο συντάσσεται από τον Επόπτη κάθε Ε.Κ.Π. και εγκρίνεται αρµοδίως.
Λόγω της οικονοµικής κρίσης καθίσταται αναγκαία η αναπροσαρµογή του τιµήµατος έκδοσης της ειδικής άδειας θήρας στις ΕΚΠ και των τιµών των θηραµάτων, ώστε πέραν του βασικού σκοπού των ΕΚΠ, που είναι η αειφορική διαχείριση του θηραµατικού κεφαλαίου και η βιώσιµη λειτουργία τους, να υπάρχει και αντίστοιχη συµβολή και στην ανάπτυξη των τοπικών οικονοµιών. Επιπρόσθετα λόγω της σηµαντικότατης αύξησης της πληθυσµιακής πυκνότητας και γεωγραφικής κατανοµής του αγριόχοιρου θα πρέπει να παρέχονται κίνητρα αύξησης της κάρπωσής του στις ΕΚΠ έτσι ώστε να µειωθούν οι πληθυσµοί και κατ΄ επέκταση οι ζηµιές που προκαλούνται στις καλλιέργειες.
Για τους λόγους αυτούς και προκειµένου να υπάρξει µια βάση για τη διαµόρφωση ενιαίας τιµολογιακής πολιτικής στις Ε.Κ.Π. που τελούν υπό τη διαχείριση των Δασικών Υπηρεσιών, καθορίίζονται τα ελάχιστα τέλη έκδοσης ειδικής άδειας θήρας εντός Ε.Κ.Π ως εξής:
• Για τους µόνιµους κατοίκους των Τοπικών Κοινοτήτων που ολόκληρο ή µέρος του διοικητικού ορίου τους βρίσκεται µέσα στην Κυνηγετική περιοχή 2,00 ΕΥΡΩ για µία (1) είσοδο ή 8,00 ΕΥΡΩ για πέντε (5) εισόδους ή 15 ΕΥΡΩ για δέκα (10) εισόδους. • Για τους µόνιµους κατοίκους του Νοµού 3,00 ΕΥΡΩ για µία (1) είσοδο ή 14,00 ΕΥΡΩ για πέντε (5) εισόδους ή 25,00 ΕΥΡΩ για δέκα (10) εισόδους. • Για τους υπόλοιπους Έλληνες, τους υπηκόους ξένων Κρατών που διαµένουν στην Ελλάδα πέραν της 15ετίας και υπηκόους χωρών της Ε.Ε 5,00 ΕΥΡΩ για µία (1) είσοδο ή 20,00 ΕΥΡΩ για πέντε (5) εισόδους ή 35,00 ΕΥΡΩ για δέκα (10) εισόδους. • Για τους υπόλοιπους υπηκόους άλλων ξένων Κρατών πλην Ε.Ε. 50,00 ΕΥΡΩ για δύο (2) εισόδους. • Στις παραπάνω τιµές δεν συµπεριλαµβάνεται ο Φ.Π.Α.
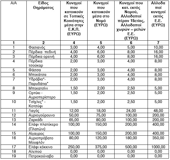
Αντίστοιχα για τα θηρευθέντα θηράµατα καθορίζονται ως ελάχιστες τιµές οι αναγραφόµενες στον παρακάτω πίνακα:
ΕΛΑΧΙΣΤΕΣ ΚΑΤΑΒΛΗΤΕΕΣ ΑΞΙΕΣ ΘΗΡΑΜΑΤΩΝ ΤΩΝ Ε.Κ.Π.
Στις ανωτέρω τιµές δεν συµπεριλαµβάνεται ο Φ.Π.Α.
Ο τελικός καθορισµός των τελών έκδοσης ειδικής άδειας θήρας και καταβλητέων αξιών θηραµάτων των Ελεγχόµενων Κυνηγετικών Περιοχών που διαχειρίζονται από τις Δασικές Υπηρεσίες καθορίζονται µε τα ετήσια προγράµµατα θήρας µε βάση τα παραπάνω και µπορούν να προσαρµόζονται προς τα άνω ανάλογα µε την προσφορά και ζήτηση και µε γνώµονα την αειφορική διαχείριση των θηραµατικών πληθυσµών και της µεγιστοποίησης τόσο των ωφελειών των τοπικών οικονοµιών όσο και των εσόδων των ίδιων των Ε.Κ.Π. µε την αύξηση του κυνηγετικού τουρισµού.































