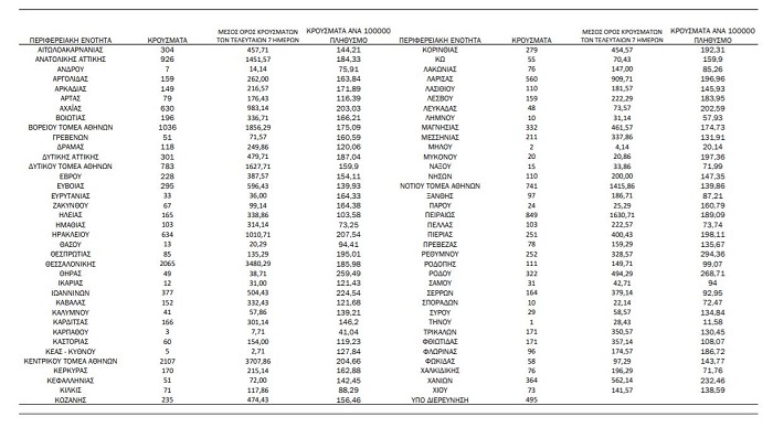
Η Αττική εξακολουθεί να καταγράφει εφιαλτικά νούμερα στο χάρτη διασποράς του κορονοϊού, που ανακοίνωσε σήμερα 7/1 ο ΕΟΔΥ.
Ειδικότερα, από τα νέα κρούσματα σήμερα, τα 10.135 καταγράφονται στην Αττική.
Ειδικότερα, η επιδημιολογική εικόνα στην Αττική έχει ως εξής:
- Ανατολική Αττική 1.306
- Βόρειος Τομέας Αθήνας 1.474
- Δυτική Αττική 462
- Δυτικός Τομέας Αθήνας 1.334
- Κεντρικός Τομέας Αθήνας 2.671
- Νήσων 162
- Νότιος Τομέας Αθήνας 1.195
- Πειραιάς 1.531
Την ίδια ώρα η Θεσσαλονίκη μετρά 3.005 νέα κρούσματα το τελευταίο 24ωρο. Επίσης, το Ηράκλειο με 1.150 καταγράφει υψηλό επιδημιολογικό φορτίο.
Ακολουθεί η γεωγραφική κατανομή των νέων μολύνσεων με Covid-19 στις περιφέρειες της Ελλάδας:





























