Ειδικότερα το νέο σύστημα θα πριμοδοτεί την παραμονή στην εργασία πέραν των 40 ετών ασφάλισης με επιπλέον υπολογισμό στην σύνταξη κατά 0,5% το έτος.
Τα αναδρομικά προκύπτουν από την αλλαγή των συντελεστών υπολογισμού της σύνταξης μετά τα 30 χρόνια και δίνουν αυξήσεις στις συντάξεις που έχουν εκδοθεί από τον περασμένο Οκτώβριο, αλλά και στους παλιούς ασφαλισμένους από 2%-15%.
Η μερίδα του λέοντος λαμβάνει μέσες αυξήσεις της τάξης του 5% με 8%, καθώς το 65% των συνταξιούχων έχει συνταξιοδοτηθεί με μέση σύνταξη τα 1.500-1.800 ευρώ.
Τυχεροί του νέου συστήματος είναι όσοι έχουν συνταξιοδοτηθεί με 31 και πάνω χρόνια για τους οποίους προκύπτουν οι παρακάτω αυξήσεις σύμφωνα με τον πίνακα.
Είναι χαρακτηριστικό ότι το νέο σύστημα θα πριμοδοτεί την παραμονή στην εργασία πέραν των 40 ετών ασφάλισης με επιπλέον υπολογισμό στην σύνταξη κατά 0,5% το έτος, που σημαίνει ότι αν κάποιος που έχει συμπληρώσει 40 έτη ασφάλισης στα 62 και συνταξιοδοτείται στο 67ο έτος θα λάβει 2,5% επιπλέον στον υπολογισμό της σύνταξης, πέραν της τεσσαρακονταετίας.
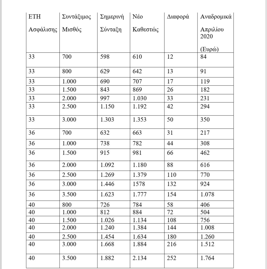
Αναλυτικότερα:
Για 33 έτη ασφάλισης
-Ασφαλισμένος με 700 ευρώ μισθό μεικτά σήμερα λαμβάνει κύρια σύνταξη 598 ευρώ με τα νέα ποσοστά αναπλήρωσης θα λάβει 610 ευρώ, μηνιαία αύξηση 12 ευρώ.
-Ασφαλισμένος με 1.000 ευρώ μισθό μεικτά σήμερα λαμβάνει κύρια σύνταξη 690 ευρώ και θα λάβει 707 ευρώ, αύξηση 17 ευρώ.
-Ασφαλισμένος με 1.500 ευρώ μισθό μεικτά σήμερα λαμβάνει κύρια σύνταξη 843 ευρώ και θα λάβει 869 ευρώ, αύξηση 25 ευρώ.
-Ασφαλισμένος με 2.000 ευρώ μισθό μεικτά σήμερα λαμβάνει κύρια σύνταξη 997 ευρώ και θα λάβει 1.030 ευρώ, αύξηση 34 ευρώ.
-Ασφαλισμένος με 3.000 ευρώ μισθό μεικτά σήμερα λαμβάνει κύρια σύνταξη 1.303 ευρώ και θα λάβει 1.353 ευρώ, αύξηση 50 ευρώ.
- Ασφαλισμένος με 3.500 μισθό μεικτά σήμερα λαμβάνει κύρια σύνταξη 1.456 ευρώ και θα λάβει 1.515 ευρώ με αύξηση 59 ευρώ.
Για 36 έτη ασφάλισης
-Ασφαλισμένος με 700 ευρώ μισθό μεικτά σήμερα λαμβάνει κύρια σύνταξη 632 ευρώ με τα νέα ποσοστά αναπλήρωσης θα λάβει 663 ευρώ, μηνιαία αύξηση 31 ευρώ.
-Ασφαλισμένος με 1.000 ευρώ μισθό μεικτά σήμερα λαμβάνει κύρια σύνταξη 738 ευρώ και θα λάβει 782 ευρώ, αύξηση 44 ευρώ.
-Ασφαλισμένος με 1.500 ευρώ μισθό μεικτά σήμερα λαμβάνει κύρια σύνταξη 915 ευρώ και θα λάβει 981 ευρώ, αύξηση 66 ευρώ.
-Ασφαλισμένος με 2.000 ευρώ μισθό μεικτά σήμερα λαμβάνει κύρια σύνταξη 1.092 ευρώ και θα λάβει 1.180 ευρώ, αύξηση 88 ευρώ.
-Ασφαλισμένος με 3.000 ευρώ μισθό μεικτά σήμερα λαμβάνει κύρια σύνταξη 1.446 ευρώ και θα λάβει 1.578 ευρώ, αύξηση 132 ευρώ.
- Ασφαλισμένος με 3.500 μισθό μεικτά σήμερα λαμβάνει κύρια σύνταξη 1.623 ευρώ και θα λάβει 1.777 ευρώ με αύξηση 154 ευρώ.
Για 39 έτη ασφάλισης
-Ασφαλισμένος με 700 ευρώ μισθό μεικτά σήμερα λαμβάνει κύρια σύνταξη 670 ευρώ με τα νέα ποσοστά αναπλήρωσης θα λάβει 716 ευρώ, μηνιαία αύξηση 47 ευρώ.
-Ασφαλισμένος με 1.000 ευρώ μισθό μεικτά σήμερα λαμβάνει κύρια σύνταξη 792 ευρώ και θα λάβει 859 ευρώ, αύξηση 67 ευρώ.
-Ασφαλισμένος με 1.500 ευρώ μισθό μεικτά σήμερα λαμβάνει κύρια σύνταξη 996 ευρώ και θα λάβει 1.096 ευρώ, αύξηση 100 ευρώ.
-Ασφαλισμένος με 2.000 ευρώ μισθό μεικτά σήμερα λαμβάνει κύρια σύνταξη 1.200 ευρώ και θα λάβει 1.333 ευρώ, αύξηση 133 ευρώ.
-Ασφαλισμένος με 3.000 ευρώ μισθό μεικτά σήμερα λαμβάνει κύρια σύνταξη 1.608 ευρώ και θα λάβει 1.808 ευρώ, αύξηση 200 ευρώ.
- Ασφαλισμένος με 3.500 μισθό μεικτά σήμερα λαμβάνει κύρια σύνταξη 1.812 ευρώ και θα λάβει 2.045 ευρώ με αύξηση 233 ευρώ.
Για 40 έτη ασφάλισης
-Ασφαλισμένος με 700 ευρώ μισθό μεικτά σήμερα λαμβάνει κύρια σύνταξη 684 ευρώ με τα νέα ποσοστά αναπλήρωσης θα λάβει 734 ευρώ, μηνιαία αύξηση 50 ευρώ.
-Ασφαλισμένος με 1.000 ευρώ μισθό μεικτά σήμερα λαμβάνει κύρια σύνταξη 812 ευρώ και θα λάβει 884 ευρώ, αύξηση 72 ευρώ.
-Ασφαλισμένος με 1.500 ευρώ μισθό μεικτά σήμερα λαμβάνει κύρια σύνταξη 1.026 ευρώ και θα λάβει 1.134 ευρώ, αύξηση 108 ευρώ.
-Ασφαλισμένος με 2.000 ευρώ μισθό μεικτά σήμερα λαμβάνει κύρια σύνταξη 1.240 ευρώ και θα λάβει 1.384 ευρώ, αύξηση 144 ευρώ.
-Ασφαλισμένος με 3.000 ευρώ μισθό μεικτά σήμερα λαμβάνει κύρια σύνταξη 1.668 ευρώ και θα λάβει 1.884 ευρώ, αύξηση 216 ευρώ.
- Ασφαλισμένος με 3.500 μισθό μεικτά σήμερα λαμβάνει κύρια σύνταξη 1.882 ευρώ και θα λάβει 2.134 ευρώ με αύξηση 252 ευρώ. Για 42 έτη ασφάλισης
-Ασφαλισμένος με 700 ευρώ μισθό μεικτά σήμερα λαμβάνει κύρια σύνταξη 747 ευρώ με τα νέα ποσοστά αναπλήρωσης θα λάβει 779 ευρώ, μηνιαία αύξηση 33 ευρώ.
-Ασφαλισμένος με 1.000 ευρώ μισθό μεικτά σήμερα λαμβάνει κύρια σύνταξη 852 ευρώ και θα λάβει 894 ευρώ, αύξηση 42 ευρώ.
-Ασφαλισμένος με 1.500 ευρώ μισθό μεικτά σήμερα λαμβάνει κύρια σύνταξη 1.086 ευρώ και θα λάβει 1.149 ευρώ, αύξηση 63 ευρώ.
-Ασφαλισμένος με 2.000 ευρώ μισθό μεικτά σήμερα λαμβάνει κύρια σύνταξη 1.320 ευρώ και θα λάβει 1.404 ευρώ, αύξηση 84 ευρώ.
-Ασφαλισμένος με 3.000 ευρώ μισθό μεικτά σήμερα λαμβάνει κύρια σύνταξη 1.788 ευρώ και θα λάβει 1.914 ευρώ, αύξηση 126 ευρώ.
- Ασφαλισμένος με 3.500 μισθό μεικτά σήμερα λαμβάνει κύρια σύνταξη 2.022 ευρώ και θα λάβει 2.169 ευρώ με αύξηση 147 ευρώ.
Πίνακας
Διαφορές υπάρχοντος και νέου συστήματος και Αναδρομικά





























