Κατάργηση φοροαπαλλαγών, μειώσεις στα αφορολόγητα όρια εισοδήματος μισθωτών, συνταξιούχων και κατά κύριο επάγγελμα αγροτών, περικοπές συντάξεων και επιδομάτων, αλλά και «αντίμετρα» που προβλέπουν μειώσεις στο ύψος της φορολογίας για τα μεσαία και υψηλά εισοδήματα από μισθούς, συντάξεις και αγροτικές δραστηριότητες, για τα κέρδη των επιχειρήσεων και την κατοχή ακίνητης περιουσίας περιλαμβάνει το πολυνομοσχέδιο με το πακέτο των δημοσιονομικών μέτρων που δεσμεύτηκε να υλοποιήσει η ελληνική κυβέρνηση για να κλείσει η τεχνική συμφωνία αναθεώρησης του Μνημονίου.
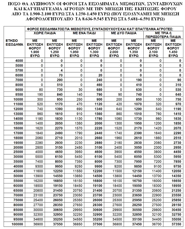
Αυξήσεις φορολογικών επιβαρύνσεων για εκατομμύρια μισθωτούς, συνταξιούχους και κατ’ επάγγελμα αγρότες αναμένεται να προκαλέσουν οι διατάξεις του άρθρου 10 του πολυνομοσχεδίου που προβλέπουν τη μείωση της ετήσιας έκπτωσης φόρου εισοδήματος κατά 650 ευρώ, από τα επίπεδα των 1.900-2.100 ευρώ στα επίπεδα των 1.250-1.450 ευρώ.
Σε περίπτωση που εφαρμοστούν ταυτόχρονα και τα φορολογικά «αντίμετρα» που προβλέπει το πολυνομοσχέδιο για τη φορολογία εισοδήματος, τότε οι επιβαρύνσεις θα «σμικρυνθούν» σημαντικά για όσους μισθωτούς, συνταξιούχους και κατ’ επάγγελμα αγρότες δηλώνουν ετησίως μέχρι 21.500 ευρώ, ενώ για όσους δηλώνουν πάνω από το όριο αυτό θα προκύψουν σημαντικές φοροελαφρύνσεις που θα φθάνουν και μέχρι τα 1.500 ευρώ τον χρόνο.
Ειδικότερα:
1. Από τη μείωση των εκπτώσεων φόρου κατά 650 ευρώ και τη διατήρηση του ελάχιστου φορολογικού συντελεστή στο 22%, που ισοδυναμούν με μείωση αφορολόγητων ορίων από τα επίπεδα των 8.636-9.545 ευρώ στα επίπεδα των 5.681-6.591 ευρώ, θα προκύψουν για πρώτη φορά επιβαρύνσεις ακόμη και για όσους εργαζόμενους του ιδιωτικού τομέα αμείβονται με λίγο περισσότερα από 405 ευρώ τον μήνα, καθώς επίσης και για τους δημόσιους υπαλλήλους και τους συνταξιούχους με αποδοχές λίγο μεγαλύτερες από 473 ευρώ τον μήνα.
Ωστόσο, ακόμη και όσοι μισθωτοί και συνταξιούχοι λαμβάνουν μηνιαία εισοδήματα χαμηλότερα από τα παραπάνω όρια, δηλαδή ζουν με ετήσια εισοδήματα χαμηλότερα από τα νέα μειωμένα αφορολόγητα όρια των 5.681-6.591 ευρώ, θα κληθούν κι αυτοί να πληρώσουν υπέρογκους φόρους εισοδήματος, καθώς η Ανεξάρτητη Αρχή Δημοσίων Εσόδων θα προσδιορίσει τα τελικά φορολογητέα εισοδήματά τους σε επίπεδα πολύ υψηλότερα των νέων χαμηλών αυτών αφορολογήτων ποσών, εφαρμόζοντας τα τεκμήρια διαβίωσης για τις κατοικίες στις οποίες διαμένουν και τα Ι.Χ. αυτοκίνητα που τυχόν χρησιμοποιούν. Κάτι αντίστοιχο θα συμβεί και στους κατά κύριο επάγγελμα αγρότες, οι περισσότεροι από τους οποίους δηλώνουν ετήσια εισοδήματα κάτω από τα επίπεδα των νέων μειωμένων αφορολόγητων ορίων, όμως τα τεκμήρια διαβίωσης για τα σπίτια και τα Ι.Χ. αυτοκίνητά τους ανεβάζουν τα τελικά φορολογητέα εισοδήματά τους σε επίπεδα πολύ πιο υψηλά.
Πιο αναλυτικά:
α) Για τους μισθωτούς, τους συνταξιούχους και τους κατ’ επάγγελμα αγρότες που δεν βαρύνονται με ανήλικα ή ενήλικα εξαρτώμενα τέκνα (σπουδάζοντα, άνεργα κ.λπ.) η έκπτωση φόρου μειώνεται από τα 1.900 στα 1.250 ευρώ. Η μείωση της έκπτωσης φόρου κατά 650 ευρώ, με δεδομένο ότι θα συνδυαστεί με διατήρηση του κατώτατου συντελεστή φορολόγησης στο 22%, θα οδηγήσει σε μείωση του ισχύοντος για τους φορολογούμενους αυτούς αφορολόγητου ορίου από τα 8.636 ευρώ (1.900 ευρώ/ 22%) στα 5.681 ευρώ (1.250 ευρώ / 22%).
β) Για τους μισθωτούς, τους συνταξιούχους και τους κατ’ επάγγελμα αγρότες που βαρύνονται με ένα ανήλικο ή ενήλικο εξαρτώμενο τέκνο, η έκπτωση φόρου των 1.950 ευρώ η οποία ισχύει σήμερα θα μειωθεί στα 1.300 ευρώ. Η μείωση αυτή θα οδηγήσει σε μείωση του ισχύοντος για τους φορολογούμενους αυτούς αφορολόγητου ορίου από τα 8.863,63 ευρώ (1.950 ευρώ / 22%) στα 5.909 ευρώ (1.300 ευρώ / 22%).
γ) Για τους μισθωτούς, τους συνταξιούχους και τους κατ’ επάγγελμα αγρότες που βαρύνονται με δύο ανήλικα ή ενήλικα εξαρτώμενα τέκνα, η έκπτωση φόρου των 2.000 ευρώ που ισχύει σήμερα θα μειωθεί στα 1.350 ευρώ. Η μείωση αυτή θα οδηγήσει σε περιορισμό του ισχύοντος για τους φορολογούμενους αυτούς αφορολόγητου ορίου από τα 9.091 ευρώ (2.000 ευρώ / 22%) στα 6.136,36 ευρώ (1.350 ευρώ / 22%).
δ) Για τους μισθωτούς, τους συνταξιούχους και τους κατ’ επάγγελμα αγρότες που βαρύνονται με τρία ή περισσότερα ανήλικα ή ενήλικα εξαρτώμενα τέκνα η έκπτωση φόρου των 2.100 ευρώ που ισχύει σήμερα θα μειωθεί στα 1.450 ευρώ. Η μείωση αυτή θα οδηγήσει σε περιορισμό του ισχύοντος για τους φορολογούμενους αυτούς αφορολόγητου ορίου από τα 9.545 ευρώ (2.100 ευρώ / 22%) στα 6.591 ευρώ (1.450 ευρώ / 22%).
Από τις παραπάνω μειώσεις στα αφορολόγητα όρια:
- Περίπου 4,3 εκατομμύρια μισθωτοί, συνταξιούχοι και κατ’ επάγγελμα αγρότες με ετήσια εισοδήματα μεγαλύτερα των 5.700 ευρώ θα υποστούν επιπλέον φορολογικές επιβαρύνσεις έως και 650 ευρώ έκαστος.
-Περίπου 1,5 εκατομμύριο μισθωτοί, συνταξιούχοι και κατ’ επάγγελμα αγρότες με ετήσια δηλούμενα εισοδήματα χαμηλότερα των νέων μειωμένων αφορολόγητων ορίων των 5.681-6.591 ευρώ θα υποστούν κι αυτοί επιβαρύνσεις, λόγω προσδιορισμού των τελικών φορολογητέων εισοδημάτων τους με βάση τα τεκμήρια διαβίωσης σε επίπεδα υψηλότερα των 6.000-7.000 ευρώ, όπου πλέον επιβάλλεται φόρος εισοδήματος. Π.χ. άγαμος μισθωτός εργαζόμενος με μηνιαίο εισόδημα 300 ευρώ, δηλαδή με ετήσιο εισόδημα μόλις 3.600 ευρώ, που διαμένει σε διαμέρισμα 80 τ.μ. θα φορολογείται βάσει τεκμηρίων διαβίωσης για εισόδημα 6.200 ευρώ (3.000 ευρώ ελάχιστο τεκμήριο + 3.200 ευρώ τεκμήριο κύριας κατοικίας) και θα πληρώνει φόρο εισοδήματος 114 ευρώ.
Εφόσον όμως μαζί με τη μείωση των εκπτώσεων φόρου κατά 650 ευρώ εφαρμοστούν και τα φορολογικά «αντίμετρα» της κυβέρνησης, τα οποία περιλαμβάνονται στα άρθρα 12 και 13 του πολυνομοσχεδίου και προβλέπουν τη μείωση του κατώτατου φορολογικού συντελεστή από το 22% στο 20%, την κατάργηση της ειδικής εισφοράς αλληλεγγύης για τα ετήσια εισοδήματα μέχρι 30.000 ευρώ και τη μείωσή της για τα εισοδήματα από 30.001 έως και 65.000 ευρώ, τότε θα προκύψουν αυξήσεις φορολογικών επιβαρύνσεων κατά 24 έως 470 ευρώ τον χρόνο μόνο για όσους μισθωτούς, συνταξιούχους και κατ’ επάγγελμα αγρότες δηλώνουν ετήσια εισοδήματα μέχρι 21.500 ευρώ.
Ακόμη θα υπάρξουν φοροελαφρύνσεις από 26 έως και 1.501 ευρώ ετησίως για τους μισθωτούς, τους συνταξιούχους και τους κατ’ επάγγελμα αγρότες που δηλώνουν πάνω από 21.500 και μέχρι 220.000 ευρώ τον χρόνο.
Τα φορολογικά αντίμετρα, τα οποία περιλαμβάνονται στο πολυνομοσχέδιο, προβλέπουν στη φορολογία εισοδήματος φυσικών προσώπων:
α) Μηδενισμό της ειδικής εισφοράς αλληλεγγύης για ετήσια εισοδήματα μέχρι 30.000 ευρώ και μείωσή της για εισοδήματα μέχρι 65.000 ευρώ, ως εξής:
από 6,5% σε 2% για το τμήμα ετήσιου εισοδήματος από 30.001 έως 40.000 ευρώ,
από 7,5% σε 5% για το τμήμα ετήσιου εισοδήματος από 40.001 έως και 65.000 ευρώ,
Έτσι, η κλίμακα υπολογισμού της εισφοράς θα διαμορφωθεί ως εξής:
0% για το τμήμα ετησίου εισοδήματος μέχρι τα 30.000 ευρώ,
2% για το τμήμα ετήσιου εισοδήματος από 30.001 έως 40.000 ευρώ,
5% για το τμήμα ετήσιου εισοδήματος από 40.001 έως και 65.000 ευρώ,
9% για το τμήμα ετήσιου εισοδήματος από 65.001 έως και 220.000 ευρώ και
10% για το τμήμα ετήσιου εισοδήματος από 220.001 ευρώ και πάνω.
β) Μείωση κατά 2 ποσοστιαίες μονάδες του κατώτατου συντελεστή φόρου εισοδήματος φυσικών προσώπων. Ο συντελεστής φόρου που επιβάλλεται στα εισοδήματα μέχρι 20.000 ευρώ προβλέπεται να μειωθεί από το 22% στο 20%. Ειδικά για τους μισθωτούς, τους συνταξιούχους και τους κατ’ επάγγελμα αγρότες, τυχόν μείωση του κατώτατου συντελεστή φόρου από το 22% στο 20% θα έχει ως συνέπεια το αφορολόγητο όριο εισοδήματος να διαμορφωθεί:
Στα 6.250 ευρώ (έκπτωση φόρου 1.250 ευρώ / 20%) για τους άγαμους χωρίς προστατευόμενα τέκνα.
Στα 6.500 ευρώ (έκπτωση φόρου 1.300 ευρώ / 20%) για τους άγαμους ή τους έγγαμους με ένα προστατευόμενο τέκνο.
Στα 6.750 ευρώ (έκπτωση φόρου 1.350 ευρώ / 20%) για τους άγαμους ή τους έγγαμους με δύο προστατευόμενα τέκνα.
Στα 7.250 ευρώ (έκπτωση φόρου 1.450 ευρώ / 20%) για τους άγαμους ή τους έγγαμους με τρία ή περισσότερα προστατευόμενα τέκνα.
Οι παραπάνω αλλαγές θα εφαρμοστούν για τα εισοδήματα του έτους 2020 και των επόμενων ετών, αν και εφόσον μέχρι και το τέλος του 2019 η Ελλάδα έχει επιτύχει πρωτογενή πλεονάσματα τουλάχιστον 3,5% του ΑΕΠ στους ετήσιους κρατικούς προϋπολογισμούς της.
Δέκα παρεμβάσεις σε φοροαπαλλαγές, επιδόματα, ελέγχους και πρόστιμα
Κατάργηση φοροαπαλλαγών για μισθωτούς, συνταξιούχους και βουλευτές από το 2018, η οποία θα αποδώσει πρόσθετα έσοδα συνολικού ύψους 233 εκατ. ευρώ, περικοπή των επιδομάτων θέρμανσης κατά 58 εκατ. ευρώ από το επόμενο έτος, επιβολή φόρου 15%-45% στα εισοδήματα από βραχυπρόθεσμες μισθώσεις ακινήτων για την εξασφάλιση άλλων 48 εκατ. ευρώ εντός του 2018, μείωση του ΦΠΑ στα αγροτικά εφόδια από τη 1-7-2017, περιορισμό των αρμοδιοτήτων των Οικονομικών Εισαγγελέων και περαιτέρω ενίσχυση της Ανεξάρτητης Αρχής Δημοσίων Εσόδων, μείωση στα πρόστιμα του ΦΠΑ σε περιπτώσεις εντοπισμού πλαστών και εικονικών φορολογικών στοιχείων σε χρήσεις προ του 2014 και επιβράδυνση της εφαρμογής των μέτρων για την επέκταση του «πλαστικού χρήματος» προβλέπουν, μεταξύ άλλων, οι κυριότερες από τις υπόλοιπες φορολογικές διατάξεις του πολυνομοσχεδίου.
Ειδικότερα, τα λοιπά φορολογικά μέτρα που περιλαμβάνει το πολυνομοσχέδιο έχουν, συνοπτικά, ως εξής:
1. Περικοπές φοροαπαλλαγών για την εξοικονόμηση 189 εκατ. ευρώ εντός του 2018 (άρθρο 69). Από την 1η-1-2018 καταργούνται η έκπτωση ποσοστού 1,5% κατά την παρακράτηση φόρου εισοδήματος επί των μισθών και των συντάξεων και από το φορολογικό έτος 2017 καταργείται η έκπτωση από τον φόρο εισοδήματος κάθε φυσικού προσώπου του 10% του ποσού των δαπανών του για ιατρική, φαρμακευτική και νοσοκομειακή περίθαλψη, το οποίο υπερβαίνει το 5% του ετήσιου ατομικού εισοδήματός του.
2. Περικοπή κατά 50% των επιδομάτων θέρμανσης ώστε να εξοικονομηθούν δαπάνες ύψους άλλων 58 εκατ. ευρώ εντός του 2018 (άρθρο 80).
3. Κατάργηση της έκπτωσης από το φορολογητέο ποσό της βουλευτικής αποζημίωσης ποσού ίσου με το 25% του ακαθάριστου ποσού της αποζημίωσης ως τεκμαρτού ποσού για την κάλυψη των δαπανών μίσθωσης πολιτικών γραφείων και λοιπών δαπανών άσκησης του βουλευτικού λειτουργήματος (άρθρο 71), με όφελος 44 εκατ. ευρώ το 2018.
4. Μείωση του συντελεστή ΦΠΑ για τα ζωντανά ζώα που προορίζονται για την ανθρώπινη διατροφή, τους σπόρους, τις ρίζες και μοσχεύματα φυτών, τις ζωοτροφές τα λιπάσματα, τα φυτοφάρμακα και την παροχή υπηρεσιών για τη γεωργική παραγωγή στο 13% από 24% που είναι σήμερα. Η μείωση αυτή θα τεθεί σε ισχύ από την 1η Ιουλίου 2017 (άρθρο 70)
5. Εκτίμηση της αξίας των ακινήτων που κατάσχονται από το Δημόσιο λόγω χρεών, με βάση τις πραγματικές τιμές της κτηματαγοράς και όχι με βάση τις αντικειμενικές αξίες (άρθρο 78).
6. Καθιέρωση περιορισμών στις αρμοδιότητες των οικονομικών εισαγγελέων ώστε να μη «θίγεται» η ανεξαρτησία της Αρχής για τα δημόσια έσοδα (άρθρα 63 και 64). Συγκεκριμένα, προβλέπεται ότι από την 1η-8-2017 οι οικονομικοί εισαγγελείς δεν θα μπορούν να εκδίδουν και να αποστέλλουν στις φοροελεγκτικές υπηρεσίες (στο ΚΕΦΟΜΕΠ, στο ΚΕΜΕΕΠ και στις ΔΟΥ) παραγγελίες για έρευνες και ελέγχους σε μεγάλες υποθέσεις φοροδιαφυγής. Η εποπτεία των Οικονομικών Εισαγγελέων θα περιοριστεί στους υπαλλήλους του, της Οικονομικής Αστυνομίας και των Τελωνείων. Ταυτόχρονα θα ιδρυθεί μια νέα Ειδική Υπηρεσία για την εκτέλεση εισαγγελικών παραγγελιών έρευνας και ελέγχου σε μεγάλες υποθέσεις οικονομικού εγκλήματος που έχουν ποινικό χαρακτήρα. Η υπηρεσία αυτή θα στελεχωθεί με υπαλλήλους εκτός ΑΑΔΕ.
7. Μείωση των προστίμων ΦΠΑ που επιβάλλονται για παραβάσεις έκδοσης ή λήψης εικονικών φορολογικών στοιχείων ή έκδοσης πλαστών φορολογικών στοιχείων οι οποίες εντοπίζονται σε εκκρεμείς ελέγχους χρήσεων πριν από το 2014, ώστε να εξομοιωθούν με τα αντίστοιχα πρόστιμα που προβλέπει ο Κώδικας Φορολογικής Διαδικασίας για τις χρήσεις από το 2014 και μετά (άρθρο 79). Συγκεκριμένα, και στις περιπτώσεις αυτές, τα πρόστιμα θα υπολογίζονται στο 50% του μη καταβληθέντος ΦΠΑ.
8. Επιβολή φόρου 15%-45% στο ετήσιο εισόδημα που αποκτά κάθε φυσικό πρόσωπο από τη βραχυχρόνια μίσθωση ακινήτου, στο πλαίσιο της οικονομίας του διαμοιρασμού (άρθρο 83). Ειδικότερα, το ετήσιο εισόδημα που αποκτούν τα φυσικά πρόσωπα από τη βραχυχρόνια μίσθωση ακινήτου στο πλαίσιο της οικονομίας του διαμοιρασμού θεωρείται εισόδημα από ακίνητη περιουσία και φορολογείται κλιμακωτά με συντελεστές 15% από το πρώτο ευρώ μέχρι τα 12.000 ευρώ, 35% στο τμήμα από τα 12.001 έως τα 35.000 ευρώ και 45% στο τμήμα πάνω από τα 35.000 ευρώ, εφόσον τα ακίνητα εκμισθώνονται επιπλωμένα χωρίς την παροχή οιασδήποτε υπηρεσίας πλην της παροχής κλινοσκεπασμάτων. Σε περίπτωση που παρέχονται οποιεσδήποτε άλλες υπηρεσίες, το εισόδημα αυτό λογίζεται ως εισόδημα από επιχειρηματική δραστηριότητα και φορολογείται με 22% μέχρι τα πρώτα 20.000 ευρώ, 29% στο τμήμα από τα 20.001 έως τα 30.000 ευρώ, 37% στο τμήμα από τα 30.001 έως τα 40.000 ευρώ και 45% στο τμήμα πάνω από τα 40.000 ευρώ. Οι διατάξεις αυτές ισχύουν για εισοδήματα που αποκτώνται από την 1η-1-2017 και μετά.
9. Από τους πλήρεις και μερικούς φορολογικούς ελέγχους που θα διενεργούνται από 1-1-2018, ποσοστό τουλάχιστον 75% θα είναι έλεγχοι που θα περιορίζονται κατ’ αρχήν μόνο στην τελευταία τριετία (άρθρο 77). Οι έλεγχοι του προηγούμενου εδαφίου μπορούν να επεκτείνονται και στα δύο προηγούμενα, πέραν της τελευταίας τριετίας, φορολογικά έτη ή χρήσεις, με βάση κριτήρια ανάλυσης κινδύνου.
10. Προβλέπεται χρονικό περιθώριο τριών ετών, μέχρι τα μέσα του 2020, για τη σταδιακή ένταξη όλων των επιχειρήσεων και των ελεύθερων επαγγελματιών στο δίκτυο των ηλεκτρονικών συναλλαγών μέσω πλαστικού χρήματος, ένταξη η οποία προϋποθέτει την υποχρεωτική εγκατάσταση μηχανημάτων POS.
Εκπτώσεις 10% έως 30% σε ΕΝΦΙΑ έως 700 ευρώ
Μείωση του Ενιαίου Φόρου Ιδιοκτησίας Ακινήτων (ΕΝΦΙΑ) κατά 10% έως και 30%, εφόσον το συνολικό ποσό με το οποίο χρεώνεται ο φορολογούμενος δεν υπερβαίνει τα 700 ευρώ, προβλέπεται από την 1η-1-2020, σύμφωνα με το άρθρο 11 του πολυνομοσχεδίου. Πρόκειται για ένα από τα φορολογικά «αντίμετρα» το οποίο θα τεθεί σε ισχύ μόνο εφόσον διαπιστωθεί από τους θεσμούς ότι επετεύχθη το 2019 ο προβλεπόμενος στόχος του Προγράμματος Οικονομικής Προσαρμογής για το πρωτογενές πλεόνασμα.
Ειδικότερα, με το άρθρο 11 του πολυνομοσχεδίου προβλέπεται ότι εάν το συνολικό ποσό του ΕΝΦΙΑ δεν υπερβαίνει τα 700 ευρώ, τότε θα αναγνωρίζεται έκπτωση επί του ποσού αυτού κατά ποσοστό 30%, η οποία όμως δεν θα μπορεί να υπερβεί τα 70 ευρώ. Για παράδειγμα εάν το ποσό του οφειλόμενου ΕΝΦΙΑ είναι 200 ευρώ, τότε θα χορηγείται στον φορολογούμενο έκπτωση 60 ευρώ (το 30% των 200 ευρώ) και το τελικό ποσό που θα πληρώνει θα είναι μόνο 140 ευρώ. Αν το ποσό του οφειλόμενου ΕΝΦΙΑ είναι 233 ευρώ, τότε θα χορηγείται στον φορολογούμενο έκπτωση 70 ευρώ (το 30% των 233 ευρώ). Εάν το ποσό του ΕΝΦΙΑ είναι μεγαλύτερο των 233 ευρώ και μέχρι 700 ευρώ, τότε η έκπτωση θα περιορίζεται στα 70 ευρώ, διότι το 30% σε κάθε τέτοια περίπτωση υπερβαίνει τα 70 ευρώ. Συνεπώς, αν ο οφειλόμενος ΕΝΦΙΑ είναι 700 ευρώ, η έκπτωση θα περιορίζεται στα 70 ευρώ, δηλαδή στο 10% -αντί στο 30%- του οφειλόμενου ποσού!
Σε κάθε περίπτωση φορολογουμένων που εμπίπτουν στο καθεστώς της απαλλαγής από το 50% του ΕΝΦΙΑ (δηλαδή για τους φορολογούμενους με ετήσιο συνολικό εισόδημα -πραγματικό ή τεκμαρτό- μέχρι 9.000 ευρώ, προσαυξανόμενο κατά 1.000 ευρώ για τη σύζυγο ή τον σύζυγο και κατά επιπλέον 1.000 ευρώ για κάθε ένα από δύο πρώτα προστατευόμενα τέκνα, οι οποίοι διαθέτουν κτίσματα μέχρι 150 τ.μ. και συνολικά ακίνητη περιουσία αξίας μέχρι 85.000 ευρώ αν είναι άγαμοι ή 150.000 ευρώ αν είναι έγγαμοι χωρίς παιδιά ή μέχρι 200.000 ευρώ εάν έχουν και ένα ή δύο παιδιά) το ποσό του φόρου μέχρι το οποίο θα χορηγείται η παραπάνω έκπτωση ορίζεται στα 1.400 ευρώ.
2. Μείωση του συντελεστή φόρου για τα νομικά πρόσωπα
Τη μείωση του συντελεστή φορολογίας των κερδών όλων των νομικών προσώπων και νομικών οντοτήτων, πλην των τραπεζών, προβλέπει το άρθρο 15 του πολυνομοσχεδίου.
Σύμφωνα με τις διατάξεις του άρθρου 14, από τη χρήση του 2020 και μετά ο συντελεστής φορολόγησης των κερδών των εταιρειών και των λοιπών νομικών προσώπων και νομικών οντοτήτων, πλην πιστωτικών ιδρυμάτων, θα μειωθεί από το 29% στο 26%.
Συγκεκριμένα, η μείωση του συντελεστή θα ισχύσει για τα παρακάτω νομικά πρόσωπα και νομικές οντότητες:
α) τις ανώνυμες εταιρείες, τις εταιρείες περιορισμένης ευθύνης, τις ετερόρρυθμες, τις ομόρρυθμες εταιρείες
β) τα μη κερδοσκοπικού χαρακτήρα νομικά πρόσωπα δημοσίου ή ιδιωτικού δικαίου που συστήθηκαν στην ημεδαπή ή την αλλοδαπή και στα οποία περιλαμβάνονται και τα κάθε είδους σωματεία και ιδρύματα,
γ) τους συνεταιρισμούς και τις ενώσεις αυτών,
δ) τις κοινωνίες αστικού δικαίου, τις αστικές κερδοσκοπικές ή μη κερδοσκοπικές εταιρείες, τις συμμετοχικές ή αφανείς εφόσον ασκούν επιχείρηση ή επάγγελμα,
ε) κοινοπραξίες.
Ειδικά μισθολόγια
Σε ριζική αναμόρφωση των ειδικών μισθολογίων με βάση τα οποία αμείβονται εκατοντάδες χιλιάδες λειτουργοί του Δημοσίου, όπως οι στρατιωτικοί, οι αστυνομικοί, οι λιμενικοί, οι πυροσβέστες, οι πανεπιστημιακοί καθηγητές, οι καθηγητές των ΤΕΙ, οι ιατροί του ΕΣΥ, οι διπλωματικοί υπάλληλοι, οι ερευνητές και οι αρχιερείς, προχωρεί η κυβέρνηση με τα άρθρα 123-162 του πολυνομοσχεδίου. Οι αλλαγές αυτές ωστόσο δεν θα προκαλέσουν μειώσεις στις συνολικές αποδοχές των εν λόγω λειτουργών του Δημοσίου, καθώς στις περιπτώσεις που με την εφαρμογή των νέων ρυθμίσεων το ύψος των αποδοχών αυτών διαμορφώνεται σε επίπεδο χαμηλότερο του ισχύοντος σήμερα, η αρνητική διαφορά θα διατηρείται ως «προσωπική διαφορά».
Συντάξεις
«Ομοβροντία» περικοπών στις συντάξεις, με κρυφό δημοσιονομικό χαρτί την δραστική μείωση ή ακόμη και την κατάργηση του οικογενειακού επιδόματος που λαμβάνουν οι παλαιοί συνταξιούχοι (προ του νόμου Κατρούγκαλου) περιλαμβάνει το πολυνομοσχέδιο που κατατέθηκε αργά χθες το βράδυ στην Βουλή, στο πλαίσιο της πρόσφατης συμφωνίας μεταξύ της κυβέρνησης και των εκπροσώπων των θεσμών.
Το κόστος των παρεμβάσεων για τους συνταξιούχους και τους ασφαλισμένους, θα αγγίξει τα 2,6 δισ. ευρώ το 2019 αντί του 1,8 δις που εμφανίζονται να ζητούν οι δανειστές, για να αυξηθεί στα 4,6 δισ. το 2020 και σχεδόν στα 5 δισ. ευρώ το 2021.
Παρά την προσπάθεια της κυβέρνησης στην αιτιολογική έκθεση του σχεδίου νόμου να στηρίξει νομικά και πολιτικά τα νέα μέτρα, η Ολομέλεια του Ελεγκτικού Συνεδρίου (ειδική συνεδρίαση της 8ης Μαϊου) στην γνωμοδότηση της , η οποία συνοδεύει το πολυνομοσχέδιο, θεωρεί γενικόλογη την επίκληση του δημοσιονομικού σκοπού, επισημαίνει ότι δεν υπάρχουν στοιχεία σχετικά με τις επιπτώσεις των μέτρων, ενώ δεν κρύβει τον προβληματισμό της για την συνταγματικότητα των νέων περικοπών.
Αναλυτικότερα, το πολυνομοσχέδιο, το οποίο δημοσιοποιήθηκε με την συμπλήρωση μόλις ενός έτους από την ανακοίνωση των παρεμβάσεων στις συντάξεις που περιελάμβανε ο νόμος Κατρούγκαλου (Ν.4387/2016), προβλέπει:
Συνταξιοδοτικό
Την περικοπή των καταβαλλόμενων κύριων συντάξεων έως 18% από την 1η Ιανουαρίου του 2019.
Την μείωση έως 18% και των επικουρικών συντάξεων εφόσον μετά τον επανυπολογισμό παρουσιάζουν προσωπική διαφορά.Απομένει να διευκρινιστεί αν στο πλαφόν αυτό, θα συνυπολογίζονται οι περικοπές του περασμένου καλοκαιριού.
Τον περιορισμό ή ακόμα και την περικοπή του επιδόματος συζύγου για τους παλαιούς συνταξιούχους από το 2019, καθώς θα ισχύουν και γι αυτούς τα εισοδηματικά κριτήρια που τέθηκαν με το νόμο Κατρούγκαλου.
Στην περίπτωση που το καταβαλλόμενο ποσό των συντάξεων είναι μικρότερο από αυτό που προκύπτει από τον επανυπολογισμό (δηλαδή, θετική διαφορά για τον συνταξιούχο) τότε η σύνταξη προσαυξάνεται από την 1η Ιανουαρίου του 2019 κατά το 1/5 της διαφοράς, σταδιακά και ισόποσα εντός 5 ετών.
Το “πάγωμα” των συντάξεων έως την 1η Ιανουαρίου του 2022, οπότε οι υπουργοί Οικονομικών και Εργασίας δύνανται να αυξάνουν ετησίως το συνολικό ποσό της σύνταξης με βάση συντελεστή που διαμορφώνεται κατά 50% από τη μεταβολή του ΑΕΠ και κατά 50% από τη μεταβολή του Δείκτη Τιμών Καταναλωτή του προηγούμενου έτους.
Την αλλαγή της βάσης υπολογισμού των εισφορών από την 1η Ιανουαρίου 2018 και μετά. Τα προβλεπόμενα ποσοστά ασφαλιστικής εισφοράς για τον κλάδο κύριας σύνταξης για τους αυτοαπασχολούμενους και ελεύθερους επαγγελματίες αφενός και όσους υπάγονταν ως αυτοαπασχολούμενοι στον κλάδο κύριας ασφάλισης Αγροτών του ΟΓΑ, υπολογίζονται επί του μηνιαίου εισοδήματος, όπως αυτό καθορίζεται με βάση το φορολογητέο αποτέλεσμα από την άσκηση της δραστηριότητάς τους κατά το προηγούμενο φορολογικό έτος, στο οποίο συμπεριλαμβάνονται οι καταβλητέες ασφαλιστικές εισφορές. Ειδικά για το 2018, προβλέπεται έκπτωση 15%.
Eργασιακά
Δεν αυξάνεται το ανώτατο όριο των ομαδικών απολύσεων. Ωστόσο, καταργείται το υπουργικό βέτο και τα σχετικά αιτήματα θα εξετάζει πλέον το Ανώτατο Συμβούλιο Εργασίας.. Επίσης, προστίθεται για τον εργοδότη που θα προκρίνει σχέδιο για ομαδικές απολύσεις η προσκόμιση κοινωνικού πλάνου, δηλαδή προτεινόμενων μέτρων άμβλυνσης των επιπτώσεων της απόλυσης. Επιπρόσθετα η προθεσμία για τις διαβουλεύσεις μεταξύ εργοδότη και εκπροσώπων των εργαζομένων αυξάνεται στις 30 ημέρες προκειμένου να εξευρεθεί συναινετική λύση, η μη προσφυγή του εργοδότη στο ΑΣΕ συνεπάγεται την ακύρωση των απολύσεων, ενώ αρνητική αιτιολογημένη απόφαση του ΑΣΕ συνιστά τεκμήριο ακυρότητας των απολύσεων σε περίπτωση προσφυγής των απολυόμενων στα πολιτικά δικαστήρια.
Συλλογικές συμβάσεις και διαπραγματεύσεις: Από τις 21 Αυγούστου 2018 και μετά, αποκαθίσταται η ισχύς της επεκτασιμότητας και της ευνοϊκότερης ρύθμισης για τον εργαζόμενο.
Επισπεύδονται οι διαδικασίες εκδίκασης των διαφορών που προκύπτουν σε περίπτωση κήρυξης απεργίας σε μία επιχείρηση.
Πρόνοια
Το πολυνομοσχέδιο προβλέπει την περικοπή τεσσάρων παροχών, οι οποίες καλύπτονται από το Κοινωνικό Εισόδημα Αλληλεγγύης. Πρόκειται για:
Την οικονομική ενίσχυση οικογενειών με χαμηλά εισοδήματα, που έχουν παιδιά σχολικής ηλικίας
Την επιδότηση νεοεισερχόμενων στην αγορά εργασίας, έως 29 ετών, οι οποίοι παραμένουν εγγεγραμμένοι στα μητρώα ανέργων για ένα χρόνο. Η επιδότηση καταβαλλόταν για πέντε μήνες.
Το προνοιακό επίδομα απροστάτευτων τέκνων.
Την οικονομική ενίσχυση φυσικών προσώπων που τελούν σε κατάσταση ένδειας.
Αντίμετρα
Στα 2,65 δισ. ευρώ κοστολογεί το οικονομικό επιτελείο, μόνο για το 2019 τα θετικά μέτρα που περιλαμβάνει το νομοσχέδιο που κατατέθηκε προς ψήφιση στη Βουλή. Η δαπάνη, εκτινάσσεται το 2020 στα 5,4 δισ. ευρώ για να καταλήξει στα 7,5 δισ. ευρώ το 2021, όπως προκύπτει από την ανάλυση που γίνεται στο Μεσοπρόθεσμο Πλαίσιο Δημοσιονομικής Στρατηγικής (ΜΠΔΣ) που συνοδεύει το νομοσχέδιο.
Αναλυτικότερα, προβλέπεται:
Φαρμακευτική δαπάνη: Η ρύθμιση ορίζει τις απαλλαγές από τη φαρμακευτική δαπάνη για ατομικό εισόδημα έως 1.200 ευρώ. Σήμερα, ο ασθενής καλύπτει ποσοστό του συνταγογραφημένου φαρμάκου του ανάλογα με την ασθένειά του σε ποσοστά που κυμαίνονται από 10% έως και 25%. Προτείνεται η μείωση στο μισό της συμμετοχής στη φαρμακευτική δαπάνη έως και συνολική κατάργηση για ανέργους, συνταξιούχους και εργαζόμενους, με βάση εισοδηματικά κριτήρια.
Επίδομα στέγασης: Το μέτρο θα καλύψει έως 600.000 νοικοκυριά, δηλαδή το 50% όσων νοικιάζουν κατοικία ή έχουν λάβει δάνειο α’ κατοικίας. Το επίδομα θα χορηγείται απευθείας στον αποδέκτη της οφειλής είτε είναι ο ιδιοκτήτης της κατοικίας, είτε είναι το πιστωτικό ίδρυμα που χορήγησε το δάνειο.Στο πλαίσιο αυτό, τίθεται ατομικό εισοδηματικό όριο στα 9.600 ευρώ, αλλά θα πρέπει να υπάρξει ΚΥΑ προκειμένου να καθοριστούν με ακρίβεια οι προϋποθέσεις και η διαδικασία χορήγησης. Η δαπάνη θα ανέλθει στα 600 εκατ. ευρώ.
Βρεφονηπιακοί σταθμοί: Προβλέπεται η αύξησή τους, ώστε να καλύψουν επιπλέον 45.000 παιδιά. Ο συνολικός αριθμός των παιδιών που θα επιδοτούνται μέσω voucher, από 90.000 που είναι σήμερα, θα αυξηθεί στις 135.000 Η δαπάνη θα ανέλθει στα 150 εκατ. ευρώ.
Σχολικά γεύματα: Επεκτείνεται το πιλοτικό πρόγραμμα παροχής ζεστού μεσημεριανού γεύματος σε μαθητές δημοτικών σχολείων για το 2016 και σε μαθητές Γυμνασίων, ώστε να καλύψει όλη την υποχρεωτική εκπαίδευση. Στο πρόγραμμα θα συμμετέχει το 50% του συνολικού μαθητικού πληθυσμού των δημοτικών και γυμνασίων της χώρας. Η δαπάνη θα ανέλθει στα 190 εκατ. ευρώ.
Επίδομα παιδιού: Η δαπάνη για οικογενειακά επιδόματα αυξάνεται κατά 260 εκατ. ευρώ ή κατά 40%, από 650 εκατ. ευρώ σε 910 εκατ. ευρώ.
Θέσεις εργασίας: Επιδότηση ύψους 260 εκατ. ευρώ τον χρόνο για προγράμματα απασχόλησης. Κεντρική στόχευση των προγραμμάτων θα είναι η καταπολέμηση της ανεργίας των νέων, ενώ θα απευθύνονται στοχευμένα και σε ομάδες ανέργων, εγγεγραμμένων στα μητρώα του Οργανισμού.
Οκτώ ΔΕΚΟ στο υπερταμείο
Στο κείμενο του πολυνομοσχεδίου προβλέπεται σαφώς ότι οκτώ νέες ΔΕΚΟ θα συμπληρώσουν την περιουσία της Εταιρίας Δημοσίων Συμμετοχών και Περιουσίας που θα είναι το τέταρτο πόδι του υπερταμείου αποκρατικοποιήσεων. Οι νέες εταιρείες προς αξιοποίηση είναι ο Διεθνής Αερολιμένας Αθηνών (25%), οι Ελληνικές Αλυκές, η ΕΤΒΑ ΒΙΠΕ, η Διώρυγα Κορίνθου, ο Οργανισμός Κεντρικών Αγορών & Αλιείας (ΟΚΑΑ), η Κεντρική Αγορά Θεσσαλονίκης, η ΔΕΘ-Helexpo και τα Καταστήματα Αφορολόγητων Ειδών (KAE).































