Στα 23,8 λεπτά του ευρώ ανά KWh (238 ευρώ ανά MWh) διαμορφώνεται η επιδότηση των οικιακών καταναλωτών για τον μήνα Νοέμβριο και για την 1η κλίμακα κατανάλωσης, όπως ανακοίνωσε ο υπουργός Περιβάλλοντος και Ενέργειας, Κώστας Σκρέκας,
Χαμηλές επιδοτήσεις για τους λογαριασμούς ρεύματος και φυσικού αερίου τον Νοέμβριο φέρνει η υποχώρηση της τιμής του φυσικού αερίου στο TTF και η συνακόλουθη αποκλιμάκωση της τιμής ρεύματος στη χονδρεμπορική αγορά.
Πίνακας 1: Κατηγορία: Οικιακός Πελάτης – Ημερήσιο Τιμολόγιο
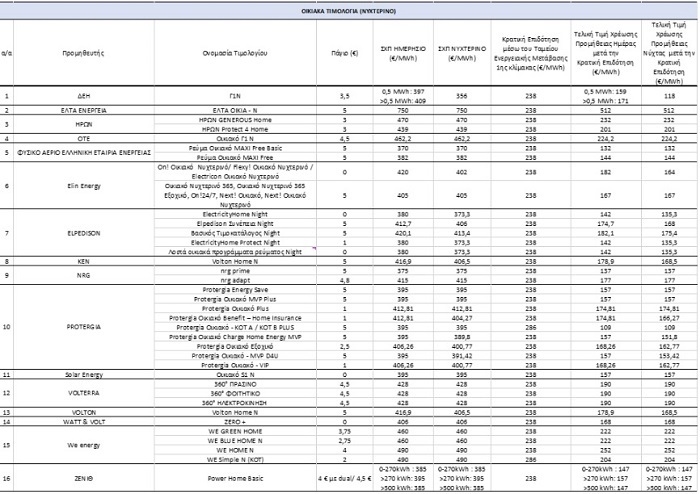
Πίνακας 2: Κατηγορία: Οικιακός Πελάτης – Νυχτερινό Τιμολόγιο
Οι κλίμακες επιδότησης για τις κατηγορίες Οικιακός Πελάτης – Ημερήσιο Τιμολόγιο και Οικιακός Πελάτης Νυχτερινό Τιμολόγιο είναι:
1η κλίμακα: μέχρι 0,5 ΜWh/μήνα η επιδότηση είναι 238€/MWh.
2η κλίμακα: από 0,5 έως 1 MWh/μήνα η επιδότηση είναι 188€/MWh. Με επίτευξη στόχου ενεργειακής εξοικονόμησης είναι 238€/MWh.
3η κλίμακα: πάνω από 1MWh/μήνα η επιδότηση είναι 98€/MWh. Με επίτευξη στόχου ενεργειακής εξοικονόμησης είναι 148€/MWh.
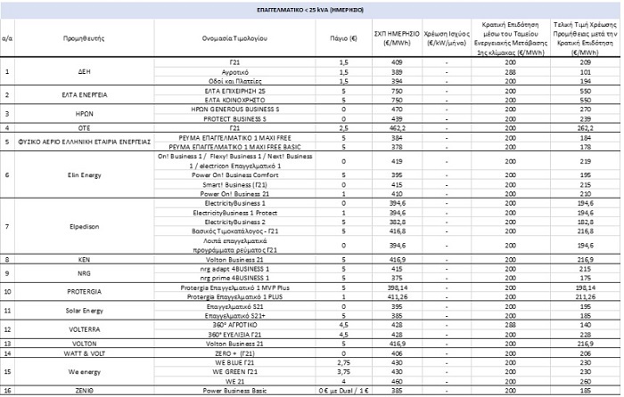
Πίνακας 3: Κατηγορία: Εμπορικός Πελάτης – Ημερήσιο Τιμολόγιο
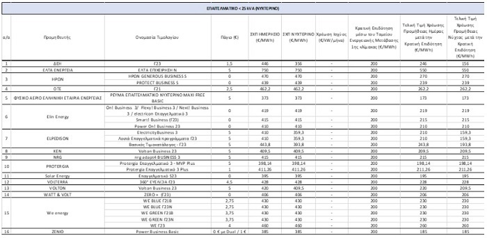
Πίνακας 4: Κατηγορία: Εμπορικός Πελάτης -Νυχτερινό Τιμολόγιο





























