Ξεκινούν οι νέες δημοπρασίες οχημάτων από τις 26 Σεπτεμβρίου στην περιοχή της Πάτρας, όπως ανακοίνωσε η Διεύθυνση Διαχείρισης Δημοσίου Υλικού.
Η δημοπράτηση θα γίνει στην αποθήκη του Τελωνείου Πατρών με προφορική πλειοδοτική δημοπρασία για την εκποίηση τροχοφόρων οχημάτων για κυκλοφορία (επιβατικά, φορτηγά), Οχημάτων Τέλους Κύκλου Ζωής (ΟΤΚΖ) και οχημάτων για διάλυση, κοινοτικής και μη προέλευσης.
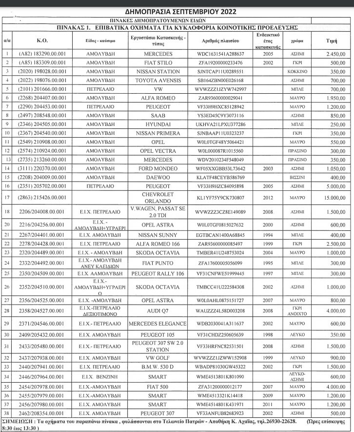
Σύμφωνα με τις ανακοινώσεις της ΑΑΔΕ, ο κατάλογος του Σεπτεμβρίου περιλαμβάνει αυτοκίνητα από 300 μέχρι και 15.000 ευρώ.
Δείτε παρακάτω τον πίνακα με τα οχήματα που βγαίνουν σήμερα σε δημοπρασία:





























